Kort fakta :
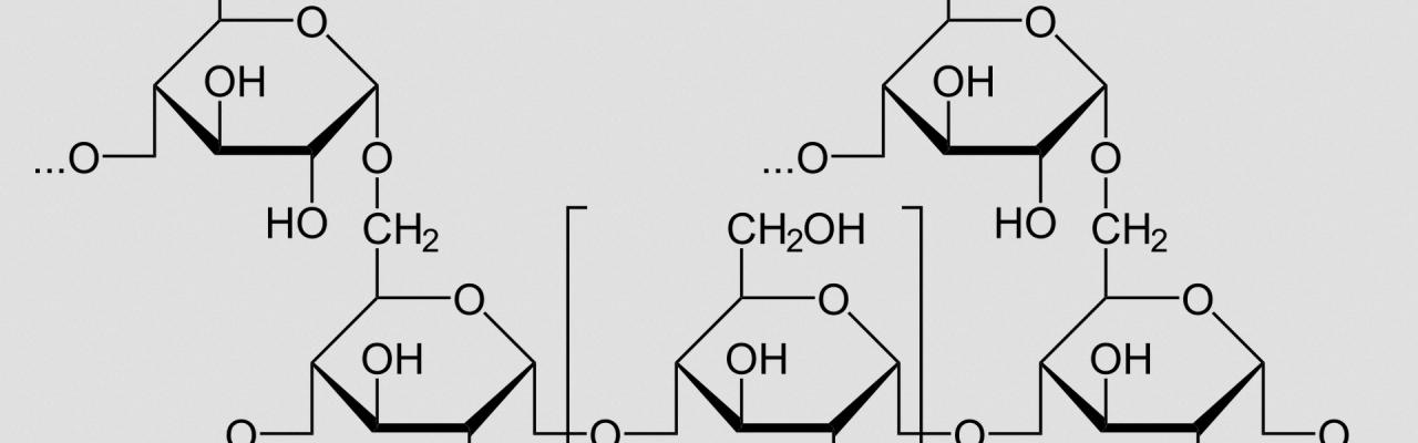
Forgrenet polysakkarid-molekyle, der består af glukose-enheder. Glykogen er energidepot i leveren og i den hvide muskulatur på fisk og skaldyr.
Vil du have nyt om smag inden for forskning, håndværk og undervisning? Tilmeld dig Smag for Livets nyhedsbrev her.